|
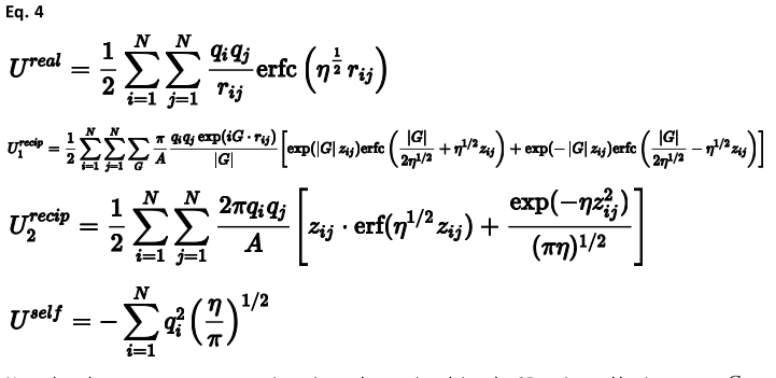
4.3长程势-4.3.3二维周期体系中的库仑相互作用时间:2025-06-11 对于较低维度和无限三维实体,也存在同样的问题。同样,2D平面的库仑和仅是条件收敛的,因此通常采用与Parry(1975-1976)最初设计的Ewald和类似的方法。这里,平面或表面被认为是根据xy平面中的表面向量定向的,并且表面法线平行于z。实空间和倒数空间中的能量贡献由下式给出: 对于较低维度和无限三维实体,也存在同样的问题。同样,2D平面的库仑和仅是条件收敛的,因此通常采用与Parry(1975-1976)最初设计的Ewald和类似的方法。这里,平面或表面被认为是根据GULP中的xy平面中的表面向量定向的,并且表面法线平行于z。实空间和倒数空间中的能量贡献由下式给出:
|

