首页 >> 仿真软件说明 >>Materials studio >>GULP-2018手册 >> 4.3长程势-4.4.4一维周期体系中的库仑相互作用
详细内容

4.3长程势-4.4.4一维周期体系中的库仑相互作用

时间:2025-06-11     作者:邱新龙翻译【转载】   来自:MS手册

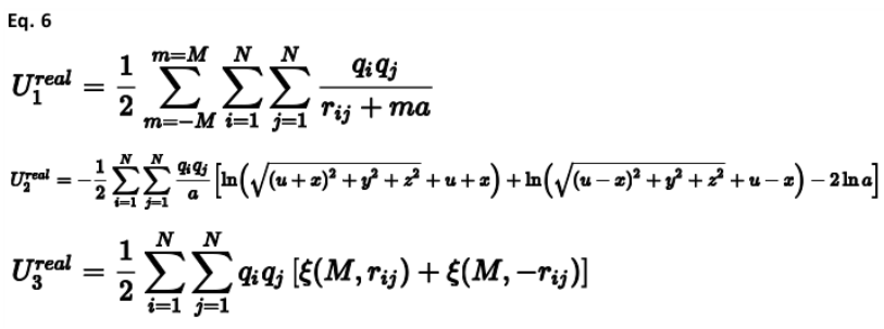
1D周期体系包括例如单个聚合物链的结构。在这个维度上,库仑和变得绝对收敛,尽管当直接在真实空间中执行时速度非常慢。对电荷中性单位求和加速了这一过程,尽管收敛仍然有些缓慢。虽然已经提出了几种加速库仑和的方法,但Saunders等人(1994)提出的方法通常是有效的,其中应用了中和背景电荷。在这里,有三种对能源的贡献,由下式给出:

image.png

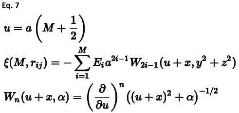
其中:第一项在从-M到M的单位单元中的i和j的所有图像上求和。a是x方向上的1D重复参数,其余变量和函数定义如下:

image.png

尽管实现给定精度所需的求和程度M本身尚不清楚,但该方法可以以迭代的方式实现,从而随着晶格重复次数的增加来测试收敛程度。


最新评论
请先登录才能进行回复登录
技术支持: CLOUD | 管理登录
seo seo