|
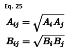
4.7组合规则时间:2025-06-11 当使用Lennard-Jones势时,通常使用组合规则来确定两个物种之间的相互作用参数。这意味着用于相互作用的参数是通过某种形式的平均从仅一个中心的参数确定的。这种方法的主要优点是减少了要确定的参数的数量,并增强了势能的可转移性。相反,对于任何一个给定的体系,所得到的势能都可能不那么准确。根据势能是以ε/σ还是A/B格式使用,使用了两种类型的组合规则(有关详细信息,请参阅三体原子间势能主题)。如果势能以A/B形式使用,则使用几何平均值取平均值:
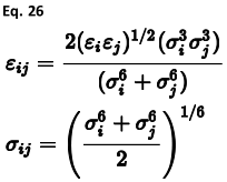
然而,如果采用ε/σ形式,则需要更复杂的关系:
在GULP中,可以使用ATOMAB或EPSILON选项按物种而不是按物种对指定参数。如果将命令COMBINE添加到Lennardtype势能的规范中,则可以从输入中省略参数,并使用适当的组合规则生成这些参数。反过来,这使得基于组合规则拟合势成为可能,而不必使用一系列约束。 |

