|
4.14多晶体的介电常数时间:2025-06-11 给定实验几何结构的介电常数,如方程64所定义,描述了单晶在低能区对外加电场的响应。多晶体的光学性质可以通过相应单晶性质的适当平均来获得。斯特劳德(Stroud)和卡扎里安(Kazarian)(1996)已经表明,在材料中微晶的取向是随机的,因此没有纹理的假设下,如何进行这种平均。多晶体介电常数的一般表达式为:
其中
函数χ描述了平均响应,定义为:
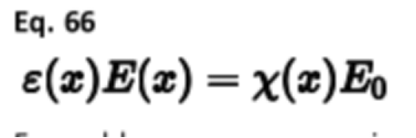
必须对方程65中的χ和ε进行集合或空间平均,得出最终表达式(Stroud和Kazarian,1996):
其中
在上面的表达式中,εi是复介电常数张量的主要值。 |




