|
二氧化碳和氮气气体与油的比例对多组分热流体乳化过程影响的分子动力学模拟时间:2025-07-03
*欢迎大家去观看原文,并引用 标题:Molecular Dynamics Simulation of the Influence of CO2 and N2 Gas-to-Oil Ratios on the Emulsification Process in Multi-ComponentThermal Fluids 期刊:ACS Omega 网址:https://doi.org/10.1021/acsomega.5c01625
一、文章摘要重油储量占全球原油资源总量的70%以上,但其开采仍面临诸多挑战,因为其具有高粘度和较差的流动性。多组分热流体(MTF)技术,结合二氧化碳(CO2)、氮气(N2)和蒸汽,提供了一种有前景的解决方案,通过增强乳化和流动性来发挥作用。本研究采用分子动力学(MD)模拟来揭示在 MTF作用下重油的微观尺度乳化机制。通过系统地改变气体与油的比例(R),我们确定了 CO2 的有利比例为 R =1.3,N2 的有利比例为 R =0.85,并通过扩散系数和径向分布函数(RDF)的分析进行了验证。MTF 的添加使油滴的扩散系数增加到0.9565×10−8平方米每秒,比 CO2系统的效果高出56.4%,比 N2系统的效果高出85.6%。这种改进的传输行为与界面分离距离为0.40纳米(油- CO2)和0.51纳米(油- N2)时所显示的乳化稳定机制相关。结果表明,二氧化碳、氮气和水的组合显著促进了油滴的分散并增强了乳化作用。这些研究结果将为高效重油提取提供微观层面的指导和理论支持。
二、计算图文
图1.模拟中所使用的沥青质和树脂分子。
表1.原油成分
图2.模拟工作流程示意图
图3. (a)不同乳液体系的势能图。 (b)十二烷基硫酸钠(SDS)稳定化的乳液液滴模型。 (c)经十二烷基硫酸钠乳化形成的乳液液滴(忽略水)。
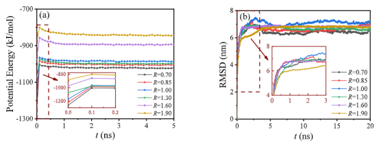
图4. 不同二氧化碳与原油比例下系统的势能。
图5. 不同二氧化碳与原油比例下模拟系统的 RMSD 分布情况。
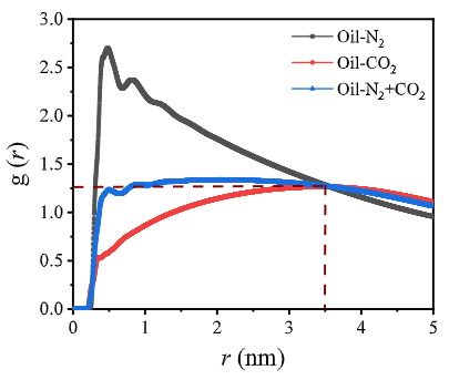
图6. 不同二氧化碳与原油比例模拟中的径向分布函数变化情况。
图7. (a)不同二氧化碳与原油比例的系统的扩散系数。 (b)二氧化碳乳化油滴的瞬间图像(忽略水)
图8. 不同二氧化碳与油的比率条件下油滴的表面活性能值。
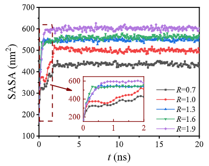
图9. 不同氮浓度下系统关键参数的变化情况。(a)不同 N2与油的比例下系统的势能分布。(b)不同 N2与油的比例下模拟系统的均方根偏差分布。(c)不同 N2与油的比例下的模拟中各油滴的径向分布函数变化。(d)不同 N2与油的比例下油滴的表面平均疏水性(SASA)值。
图10. (a)不同氮气与油的比例下系统的扩散系数。 (b)氮气乳化油滴的瞬时图像(忽略水)
图11. (a)调制传递函数模拟结果的截图。 (b)在20纳秒时模拟箱的截图。 (c)表面活性剂十二烷基硫酸钠和油滴的截图(忽略水)。
图12.油滴与不同气体之间的 RMSD变化情况。
图13.油滴与不同气体之间的相对密度差异。
图14.系统中各组件的 MSD变化情况。
三、计算分析
3.1乳化机理的微观机制通过MD模拟研究多组分热流体(MTF:CO₂、N₂、蒸汽)对重油乳化的影响,重点分析: u 气油比(R)对油滴分散性的调控(CO₂最优R=1.3,N₂最优R=0.85) u MTF协同作用机制(CO₂溶解降粘 + N₂气泡扩张促进油滴破碎) u 表面活性剂(SDS)的界面稳定作用
CO₂降粘效应验证模拟结果:CO₂溶解使油滴扩散系数提升56.4%(vs纯N₂系统),RDF峰值0.40 nm证实界面渗透(图13)。 实验验证:Lang et al. (2021) 的核磁共振实验(文献24)显示:"CO₂注入使重油粘度降低52-60%,分子扩散行为与模拟趋势一致"
N₂驱动乳化机制模拟发现:N₂通过气泡扩张机械破碎油滴(图10b),扩散系数峰值在R=0.85时出现。 实验证据:Bai et al. (2022) 的岩心驱替实验(文献25):"N₂辅助蒸汽驱提高采收率18.7%,气相分布与模拟气泡扩张机制吻合" 3.2关键物性参数的量化扩散系数:量化气体分子对油滴运动性的影响(MTF使油滴扩散系数达0.9565×10⁻⁸ m²/s,比纯CO₂/N₂系统提高56.4%/85.6%)。 界面相互作用:通过径向分布函数(RDF)分析分子间距(Oil-CO₂峰值0.40 nm,Oil-N₂峰值0.51 nm),揭示气体在油-水界面的聚集行为。 溶剂可及表面积(SASA):表征油滴分散程度(高气油比下SASA增长30%,表明油滴破碎程度增加)。
3.3体系稳定性与能量演化势能曲线(图3a)显示SDS加入使系统势能降低,增强乳化稳定性。 RMSD分析(图5, 9b)验证系统在3-5 ns内达到热力学平衡,油滴结构趋于稳定。
3.4输入参数实验基准化(参数关联)分子模型来源u 原油组分(沥青质/树脂比例13.68/25.32 wt%)基于Liu et al. (2021) 的实验验证模型(文献39),确保分子构型匹配真实原油性质。 u SDS表面活性剂浓度(1.23%)参照油田化学驱工业化应用标准(文献40)。
温压条件设定u MTF模拟温度423 K(150°C)对应蒸汽吞吐典型工况(文献14, 26) u 气油比范围(CO₂:0.7-1.9;N₂:0.7-1.9)覆盖矿场注入参数窗口(文献10, 48)
四、计算方法4.1模拟体系构建分子模型:重油组分:2种沥青质(Asp1-2) + 6种树脂(Resin1-6) + 8种轻质烷烃(表1),浓度匹配真实原油(沥青质13.68 wt%,树脂25.32 wt%)。 表面活性剂:SDS(14个分子,浓度1.23%)。 气体分子:CO₂(2500-6500分子)和N₂(2500-6500分子),体积按气油比调整。 水分子:SPC模型。
模拟流程:1. 重油分子随机放入10nm³立方盒 2. NPT系综平衡10ns 3. 转移至8×8×8nm³水盒中心 4. NVT系综平衡20ns形成油包水乳液 5. 移除水分子,添加SDS(14分子,1.23%) 6. 重新加水,NPT平衡获得SDS乳化液滴 7. 将乳化液滴置于10nm³盒中心 8. 按气油比添加CO₂/N₂分子 9. 填充SPC水分子 10. NVT系综423K下运行20ns
4.2计算参数与力场软件与力场:GROMACS 2021 + GROMOS 54a7全原子力场。 轨迹可视化工具:VMD 1.9.3 边界条件:周期性边界(立方盒尺寸10×10×10 nm³)。 分子参数来源:Automated Topology Builder (ATB) 数据库(重油、SDS、MTF组分)
系综控制:乳化过程:NPT系综(Berendsen控压,压缩系数4.5×10⁻⁵ bar⁻¹)。 MTF过程:NVT系综(v-rescale控温)。
相互作用计算:静电作用:PME方法(Particle Mesh Ewald)。 范德华作用:L-J势,截断半径1.2 nm。 时间步长:1 fs,总模拟时长20 ns。
4.3. 关键分析算法扩散系数:通过均方位移(MSD)计算(公式2),拟合斜率得扩散系数(图7a, 10a)。 径向分布函数(RDF):统计分子间距概率密度,揭示界面聚集(图6, 9c, 13)。 RMSD:评估结构稳定性(公式1),RMSD<0.2 nm表明体系平衡(图5, 9b)。 |
















