|
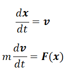
分子动力学基础-原理时间:2025-04-27 本节只是简要介绍分子动力学的原理,如果要深入学习相关内容,可阅读前言中推荐的教材。 分子动力学的基础是牛顿力学,也即经典力学。经典力学中有三个主要内容:质点、力和运动。牛顿第二定律是经典力学的核心,下面两个质点的方程大家一定不陌生。
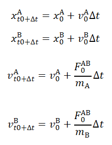
我们把他写成离散的形式,也称为差分形式:
如果
在
这样我们就知道了 我们把情形扩展到二维。在一个光滑的台球桌面上,白球在初始时刻以确定的速度撞向其他摆好的台球。如果我们把台球都看成质点,又知道所有台球的质量、初始速度、初始位置和依赖于位置的受力函数,我们就能预测击球后所有时刻台球的运动轨迹,从而判断台球是否能够进袋。我们再把情形扩展到三维。考虑宇宙中只存在太阳和太阳系的八大行星。我们是否能够通过万有引力去预测所有行星的轨迹。答案当然是可以的。只是此时我们知道某个行星除了来自太阳的引力,还有来自其他行星的应力。我们在计算某个行星的受力时,要考虑该行星与其余所有天体之间的受力。这就是经典力学能够告诉我们的东西。 在这个概念上,拉普拉斯提出了一个想法。如果存在一只神奇的动物,它能基于经典力学解算出世界上所有东西的位置和速度并能加以分析,那么世界上发生的一切及其背后的原因都一览无余的呈现在它眼前。这就是经典力学的世界观和认识论。分子动力学的理论就是基于这样的认识方法。像上面的例子一样,分子动力学的目的就是为了求解任意时刻所有组成物体原子的位置和速度,从而认识物质世界。
为什么这个方法具有很大的威力呢?这是多年科学实践告诉我们的。事实上著名物理学家理查德·费曼对这个问题有着精彩的描述。理查德·费曼在其传世物理教材《费曼物理讲义》中提出这样一个有意思的问题:“假如由于某种大灾难,所有的科学知识都丢失了,只有一句话传给下一代,那么怎样才能用最少的词汇来表达最多的信息呢?”费曼认为这句话应该是原子假设:“所有物体都是用原子构成的——这些原子是一些小小的粒子,它们一直不停地运动着,当彼此略微离开地时互相吸引,当彼此过于靠近时又相互排斥。”这句话之所以重要是因为基于这个原子假设我们能解释巨量自然界中的现象。比如,气体压强来自于大量气体分子对壁面撞击;水蒸发吸热来自于水分子从体相水中逃逸至外界环境而带走能量所致。。。。。更多详细例子可阅读《费曼物理讲义》第一卷的相关内容。 费曼把原子假设放在如此高度的原因总结起来就是——掌握组成物体内部原子的行为就可解释和理解物体的性质和行为。只是这个时候我们关注的是大量原子在一起表现出来的整体特性,而不是关注具体某个原子的运动细节。事实上,实践告诉我们大量原子在一起就会表现出某些特定的确定的性质和行为,也就我们实际生活生产中能直接测量和感受的性质和行为。到这里我们可以看到分子动力学实际上就是一只拉普拉斯兽。分子动力学的基本任务就是获取物体在任意时刻组成原子的所有位置和动量然后利用统计力学知识理解物体的性质和行为。如果这样还不能说服你分子动力学的实力。就讲一个事实——2013年诺贝尔化学奖颁给了创立跨尺度分子模拟的三位科学家。通过分子动力学模拟我们可以深刻理解我们所研究的对象。目前各种硬件超强的计算能力为分子动力学创建了一个大有可为的时代!! 分子动力学的基本任务就是获得研究对象不同时刻的位置和动量,然后基于统计力学知识获得想要的物理量,解释对象的性质和行为。因此,分子动力学的模拟流程超级简单。第一步,设置研究对象组成原子或者粒子(下面统一称为粒子)初始位置和速度;第二步,基于粒子的位置计算每个粒子受到的合力,并基于牛二定律计算粒子的加速度;第三步,基于加速度计算粒子下一时刻的速度;第四步,基于下一时刻的速度计算下一时刻的位置;第五步,循环第二步到第四步的过程,得到一系列时刻粒子的位置和速度;第六步,基于位置和速度信息得到描述对象性质和行为的物理量。
分子动力学的基本原理就是这么简单,正因为简单所以有效。需要指出的是在实际编程求解的过程考虑到计算精度等原因上述过程在某些细节上会略有改动。但是,基本上你可以认为这就是分子动力学的原理和流程。上述过程由LAMMPS帮你实现,你需要做的就是设置研究对象的基本信息,告诉给LAMMPS,然后开始模拟。 感谢鲍路瑶老师的分享,内容来自于鲍老师分享出来的资料 如有需要添加微信:lmp_zhushou 进入微信群,帮助他人,共建社区 获取完整版lammps讲义可以加微信lmp_zhushou或加入QQ群994359511 上一篇Force Field Converter下一篇前言 |

















