首页 >> 仿真软件说明 >>lammps >>bob版 >> 纳米流动-后处理
详细内容

纳米流动-后处理

时间:2025-05-06     作者:鲍路瑶【原创】   阅读

计算滑移长度和热阻长度

随着剪切率的增加,液体内部的粘性加热效应变得越来越明显,同时液体的温度分布不再是均匀分布。对于纳米通道中液体的速度分布和温度分布在通道中心区的部分仍满足连续介质力学的理论预测。对于包含滑移和热阻边界条件的定常不可压泊肃叶流动的理论解为(坐标原点在下壁面最靠近流体的那一层固体原子处)。

image.png

以上各两个公式会根据垂直壁面方式上的零点位置不同而略有差别。这里的零点为下壁面最靠近流体的壁面原子的位置。滑移长度采用纳维尔模型计算L_s=v_s/gamma,其中v_s和gamma分别为液体在固液界面处的滑移速度和剪切率。上下固液界面的位置分别定义为上壁面处最底层原子的位置和下壁面处最顶层原子的位置。参数v_s和gamma通过对通道中心区部分(3.1~25.7,这部分是经验取值,取速度明显符合理论解部分)的速度剖面进行抛物线拟合并外延至固液界面处得到。采用Kapitza热阻长度的概念来定量表征固液界面处的热阻大小。热阻长度采用如下公式计算L_K=T_J/T_dot,其中T_J和T_dot分别为固液界面处的温度跳跃和温度梯度。T_J和T_dot通过对通道中心部分的温度分布进行四次多项式拟合并外延至固液界面处得到。此外,T_J=T_F_Wall-T_W_Wall,其中,T_F_Wall是液体外延至固液界面处的温度,T_W_Wall为上壁面处最底层和下壁面处最顶层的温度(这是这两个值的一种计算方法,还以通过直线拟合固体的温度分布外延至固液界面处得到)。


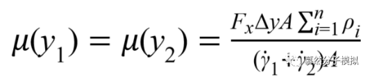
粘度分布计算

液体温度随剪切率显著升高会影响液体的粘性。并且,由于非均匀的温度分布致使液体的粘性可能还与距离壁面的位置有关。在泊肃叶流动中,沿垂直壁面方向也即y方向上,不同位置处的液体的粘性可采用以下公式进行计算(计算原理就是体积力与表面力平衡):

image.png

其中delta_y为平行于壁面的薄层厚度,取值为0.2,A为模拟区域在xz平面上的面积。gamma_dot_1和gamma_dot_1分别为液体在y_1和y_2处的剪切率。y_1和y_2关于通道中心平面位置对称。对于给定的驱动力和固液相互作用强度,液体的温度分布在通道中心区近似为直线,这表明在通道中心区液体的粘性可以假设为常数。因此,计算粘性时仅需考虑温度分布非线性非常显著的区域即可。这样y_1和y_2取对称变化就可确定粘度分布。也可以计算平均粘度。事实表明尽管温度变化较明显但是粘度变化并不大。不同固液相互作用强度下液体的粘性随界面剪切率(驱动力)的变化关系,如下图image.png

由此不同条件下滑移长度和热阻长度就可以计算出来,进行分析。在拓展方面可以将流体换成不同的对象比如水,高分子。对固体壁面进行处理,比如进行沟槽化,添加表面电荷等。带有表面电荷下的热阻和滑移之间的关系还没有人系统的研究过,可以做一做。利用公众号(慕然分子模拟)中的in-plane静态结构因子程序对结果进行分析,可以发一篇二区。此外把壁面进行软物质修饰,水凝胶修饰可以做出很好的文。虽然这个内容做得人很多了,但是还是有很多东西可以做。


感谢鲍路瑶老师的分享,内容来自于鲍老师分享出来的资料

如有需要添加微信:lmp_zhushou  进入微信群,帮助他人,共建社区

获取完整版lammps讲义可以加微信lmp_zhushou或加入QQ994359511


最新评论
请先登录才能进行回复登录
技术支持: CLOUD | 管理登录
seo seo