首页 >> 仿真理论基础 >>通俗解析-理论名词 >>QM类 >> 通俗讲解:偶极矩
详细内容

通俗讲解:偶极矩

时间:2025-05-18     作者:邱新龙【转载】   来自:维基百科+腾讯元宝+个人理解

在电磁学里,有两种偶极子(英语:Dipole):

电偶极子是两个分隔一段距离,电量相等,正负相反的电荷。

磁偶极子是一圈封闭循环的电流。例如一个有常定电流运行的线圈。

偶极子的性质可以用它的偶极矩描述。

 

电偶极矩由负电荷指向正电荷,大小等于正电荷量乘以正负电荷之间的距离。

 

偶极矩是衡量分子或电荷系统极性大小的物理量,定义为正、负电荷中心间的距离(d)与电荷量(q)的乘积,数学表达式为 μ = q × d。它是一个矢量,方向从正电荷中心指向负电荷中心,常用单位是德拜(D)或库仑·米(C·m)。

 

极性判断:若分子正负电荷中心重合(如二氧化碳),偶极矩为0,属于非极性分子;若不重合(如水),则偶极矩不为0,属于极性分子。

几何构型分析:通过偶极矩的数值和方向,可以推断分子的空间结构(如直线型、折线型)。

 

一、目的与意义

偶极矩的核心目的是揭示分子或材料的电学性质,具体应用包括:

 

分子结构研究:判断分子的几何形状和对称性(如区分CO2的直线型与H2O的折线型)。

材料设计:指导液晶材料、介电材料等极性材料的开发。

药物开发:预测药物分子与靶点蛋白的相互作用位点。

化学反应预测:分析分子间作用力(如范德华力、氢键)对溶解性、沸点的影响。

 

 

二、测量与计算

实验测量:

溶液法:通过测量溶液的电容、密度等参数推算偶极矩(如将药物溶解在环己烷中测试)。

光学法:利用分子在电场中的极化响应(如红外光谱分析振动引起的偶极矩变化)。

 

理论计算:

量子化学软件(如Gaussian):通过优化分子几何结构,计算电子密度分布和偶极矩矢量。

 

量子力学的电偶极子算符

试想一群粒子,数量为 N,电荷量和位置分别为 qirii=1,2,,N。例如,这个群集可能是一个分子,由电荷量为 −e的电子,和电荷量为 eZj的原子核所构成;其中,Zj是第 j个原子核的原子序。这个群集的电偶极子的量子算符p

image.png


电势的多级展开

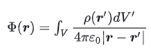
如果一个电荷系统集中于一个小区域V,他在空间中的电势为:

 image.png

如果该分布可积,那么我们只要知道了电荷分布密度ρ(r)就可以计算得到空间的电势和电场强度。但是很多情况下,很多是无法积出的,譬如不规则的物体。但是,如果我们将电荷仅局限于一个很小的空间,并且在一个远离电荷区域的地方测量,即其r远大于区域V的线度,这时候我们就可以不选取严格积分,可以利用级数展开。


偶极矩是描述电荷分布的物理量,通常是由一对等量异号电荷形成的。在两个都是正电荷或负电荷的情况下,偶极矩的概念并不适用,因为没有形成偶极。偶极矩的方向是从负电荷指向正电荷。


如果你有两个相同的正电荷或负电荷,它们之间的相互作用会导致静电力,但不会形成偶极矩。偶极矩主要用于描述存在电荷分离的情况,即一个电荷正一个电荷负的情形。对于两个相同电荷,你可以考虑它们的电场和相互作用力,而不是偶极矩。

最新评论
请先登录才能进行回复登录
技术支持: CLOUD | 管理登录
seo seo