登录
|
免费注册
设为首页
|
加入收藏
|
在线留言
|
企业位置
首页
仿真理论基础
仿真领域应用
仿真软件说明
本人培训课程
合作代算团队
合作培训课程
计算就业信息
个人仿真建议
首页
>>
仿真理论基础
>>
MD方法类
>>
个人见解版-CMD
>>
键角弯曲项
仿真理论基础
耗散粒子动力学
粗粒化MD
通俗解析-理论名词
LibreTexts
基础理化知识
MD方法类
MD-分析解析
MD-计算机处理方法
MD-基础简介
答疑类
个人见解版-CMD
DFT方法类
详细内容
键角弯曲项
时间:2025-05-21
作者:邱新龙
【原创】
阅读
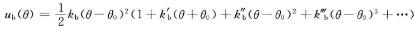
键角弯曲项与键伸缩的谐振势函数类似
为提高精度,继续采用taylor展示式处理
上一篇
二面角扭曲项
下一篇
什么叫做势阱
相关信息
LINCS的原理
SHAKE算法原理
约束
冻结/固定
电场
磁场
退火淬火
控温控压总结
控压技术
控温技术
最新评论
上一页
下一页
请先登录才能进行回复
登录
技术支持:
CLOUD
|
管理登录