详细内容

交叉项

时间:2025-05-21     作者:邱新龙【原创】   阅读

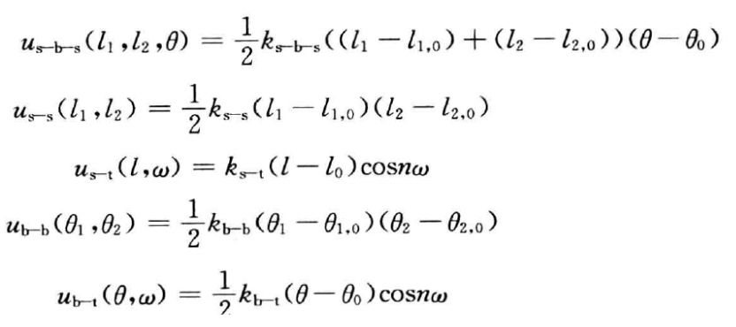
世间万物都有联动性,所以每次的运动之间都会出现耦合作用

image.png


这就是精度与速度之间的抉择问题

上一篇非键项有啥下一篇improper项
最新评论
请先登录才能进行回复登录
技术支持: CLOUD | 管理登录
seo seo